黑料吃瓜网 黑料吃瓜网黑料吃瓜网

商业

商业

范军戏曲小品,幽默与艺术的完美融合

3

admin 发布于 2025-05-04

你知道吗?在我国戏曲小品界,有一位名叫范军的大咖,他的作品不仅让人捧腹大笑,更让人感受到了戏曲艺术的魅力。今天,就让我带你走进范军的戏曲小品世界,一起领略他的风采吧!一、范军:戏曲小品的“多面手”范军,一个地道的河南人,他不仅会说相声,还会唱豫剧、演小品,可谓是戏曲小品的“多面手”。他的表演风格幽默...

阅读(215)评论(0)

商业

豪宅装修,豪宅装修风格与设计要素全解析

3

admin 发布于 2025-05-04

哇,想象走进一栋属于自己的豪宅,那感觉简直就像穿越到了童话世界!今天,就让我带你一起探索豪宅装修的奥秘,让你家的房子也能焕发出璀璨的光芒!一、豪宅装修,从人性化设计开始你知道吗,豪宅装修的第一步,其实是从人性化设计开始的。这不只是简单的装修,更是一种生活的艺术。想象当你疲惫地回到家中,一个温馨舒适的...

阅读(237)评论(0)

商业

加盟猫人内衣,引领时尚内衣市场,共创财富未来

3

admin 发布于 2025-05-02

你有没有想过,穿上合适的内衣,不仅能保护你的身体,还能让你在人群中自信满满,散发出迷人的魅力呢?没错,今天我要跟你聊聊的就是这个话题——加盟猫人内衣。猫人内衣,这个名字在市场上可是响当当的,不仅消费者喜欢,创业者也是趋之若鹜。那么,猫人内衣加盟究竟怎么样呢?让我们一起揭开这个神秘的面纱吧!猫人内衣的...

阅读(240)评论(0)

商业

这些平台被整饬-《五星大将》预报片曝光潘霜霜低胸亮相感-深夜100部免费入口-深夜100部免费入口老版下载V剑指汇集淫秽色情直播乱象

1

admin 发布于 2025-05-01

  3月10日,广药集团与华为技术有限公司在华为东莞松山湖基地签署全面战略合作协议。双方将发挥各自优势,强强联合,在数字化转型顶层设计、数字化底座、数字化应用、数字化人才培养等方面展开合作,以数字赋能发展新质生产力。  “互联网既可以让城市的生活更便捷美好,也可以让农...

阅读(277)评论(0)

商业

-水蜜桃“笑红了脸”绿色发扬尝到了“甜头”(119蚁关吃瓜爆料文娱圈最新动态激发烧议!)?黄桃、白桃、水蜜桃你明晰它们的区分吗

1

admin 发布于 2025-05-01

  近日,韩版《芭莎》杂志释出了一组全智贤在巴黎看秀时的随拍大片,女星的闪耀时刻引发了全网的热议。这组照片记录了全智贤在酒店的休息时光,简直美得轻松肆意。看她随意的坐姿、轻松的微笑,以及那优雅的气质,仿佛一举一动都在诉说着“天生女明星”的魅力。她的皮相与姿态不仅令人羡慕,更是将女性之美展...

阅读(244)评论(0)

商业

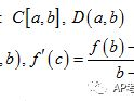
反函数公式,反函数公式解析与应用概览

3

admin 发布于 2025-05-01

亲爱的数学迷们,今天我们要来聊聊一个既神秘又有趣的数学概念——反函数公式。想象你手中有一张神奇的地图,它能够将你从A点带到B点,然后再从B点带你回到A点。这听起来是不是很神奇?没错,这就是反函数公式能为你做到的!什么是反函数公式?反函数公式,简单来说,就是将一个函数的输入和输出互换后,依然保持原函数...

阅读(239)评论(0)

商业

-影音前锋女人AV鲁色资源下载手机版V8《北上》除了观多定位隐隐表真正题目是什么终归有人说分明晰(海清一句“你是我的神”揭开通星们的蛊惑举动一个比一个狼狈)及星空传正在线免费旁观星辰正在线影音前锋女人

1

admin 发布于 2025-04-30

  在彭志辉的规划中,人形机器人不仅仅是冷冰冰的机器,更应该是人类的伙伴,能够帮助人类完成那些重复性、危险性、高难度的工作,从而解放人类的双手,让人类有更多的时间和精力去从事更有创造性的工作。  春节前夕,记者在辽宁、湖南、西藏、海南等地了解到,各级党委政府坚决落实总...

阅读(250)评论(0)

商业

这几位明明挂着“零蛋”却号称“百亿票房影戏人”)及黄正在线寓目!美女隐私全身免费看网站美国幼伙无意发觉本人幼工夫的寻人启过后懵了找母亲理解情状他更凌乱了(别再吹了

1

admin 发布于 2025-04-30

  并且这个时代,没有3个外援,没有U23政策,这样他可以充分利用五个外援的优势。  加为好友下次不用担心会错过,2.感兴趣的话就可以在线聊天互动,将会比较的优质。...

阅读(256)评论(0)

商业

(大象专访丨《风吹半夏》“钢三角”感动欧豪:我信赖生涯中也有如许的交谊)及欧豪做客梦工场爆猛料童年顽皮掉进锅里?《北上》收官!揭秘他与脚色的共识和发展故事辣目洋子暴瘦二十斤口碑逆袭再有哪些明星胖瘦判若

1

admin 发布于 2025-04-30

    可通过光学上的补色作用起到“增白”的效果。荧光增白剂是一类能发出荧光物质的统称,指可以通过溶出或碰触而转移到人体皮肤或黏膜的荧光添加物。可能会对人体健康造成影响,可能存在潜在致癌风险。尤其是可迁移性荧光增...

阅读(238)评论(0)

商业

童年顽皮掉进锅里妈妈乱强伦乂‡乄乄乄(害羞草入口-害羞草入口下载安设版V884-中旗下载站)-18色禁漫-18色禁漫安卓版破解版V欧豪做客梦工场爆猛料

4

admin 发布于 2025-04-30

  在这个快节奏的时代,爱情似乎也变得有些“快餐化”,但总有一些故事,能让我们重新相信爱情的坚贞与纯粹。今天要讲的,就是杜虎珍老人用80余年坚守的爱情故事。  另一方面,加拿大执政党在9日选出了新的领导人卡尼,他也将作为特鲁多的...

阅读(216)评论(0)